Threat Assessment Regulation 704
| Regulation 704 | Approved: October 13, 2023 |
| UNIVERSITY OF NORTH CAROLINA SCHOOL OF THE ARTS Threat Assessment Regulation 704 |
|
| Source of Authority: | UNC Code § 502D(3) |
| Revision Authority: | Chancellor |
| History: |
First Issued: February 17, 2011 Revised: October 13, 2023 |
| Related Policies: |
Weapons on Campus or Other Educational Property, N.C.G.S. § 14-269.2; |
| Responsible Offices: |
Department of Police & Public Safety Office of the Vice Provost of Student Affairs |
| Effective Date: | October 13, 2023 |
I. Purpose
UNCSA strives to provide a safe environment in which to live, learn, work, and visit. The University will use a variety of strategies to educate members of the University community; prevent and minimize threats and acts of violence; identify and assess threats and potential acts of violence; provide effective intervention in medium and high risk cases; levy appropriate consequences for threats and acts of violence; and mitigate the effects of threats and acts of violence on victims.
II. Scope
This regulation applies to all UNCSA students and employees.
III. Definitions
A. “College Student Support Team” is defined as the committee appointed by the Vice Provost and Dean of Student Affairs that meets when a college student experiencing academic, social, emotional, and/or behavioral difficulties is identified and referred for its review.
B. “High School Student Support Team” is defined as the committee appointed by the Vice Provost and Dean of Student Affairs that meets regularly and identifies high school students experiencing academic, social, emotional, and/or behavioral difficulties.
C. “Imminent Potential Threat” is defined as violence or threats reasonably believed to be about to occur absent action or intervention of some sort.
D. “Threat Assessment” is defined as the process of identifying, assessing, and managing individuals and situations that may pose a risk of violence or other harm to an identified or identifiable target.
E. “UNCSA Threat Assessment Team” and “TAT” is defined as the group of individuals who evaluate and assess potential threats posed by any individuals or situations.
IV. Regulation
A. UNCSA prohibits threats and acts of violence on UNCSA property; within UNCSA facilities; at any UNCSA sponsored event; while engaged in UNCSA business, educational, performance, and/or recreational activities; and while traveling in UNCSA vehicles (or private vehicles on UNCSA official business). UNCSA may also assess off-duty or off-campus violent or threatening conduct by any students or employees and take appropriate measures when applicable.
B. UNCSA will use a threat assessment process to respond to potential threats and acts of violence.
C. Reporting Threats
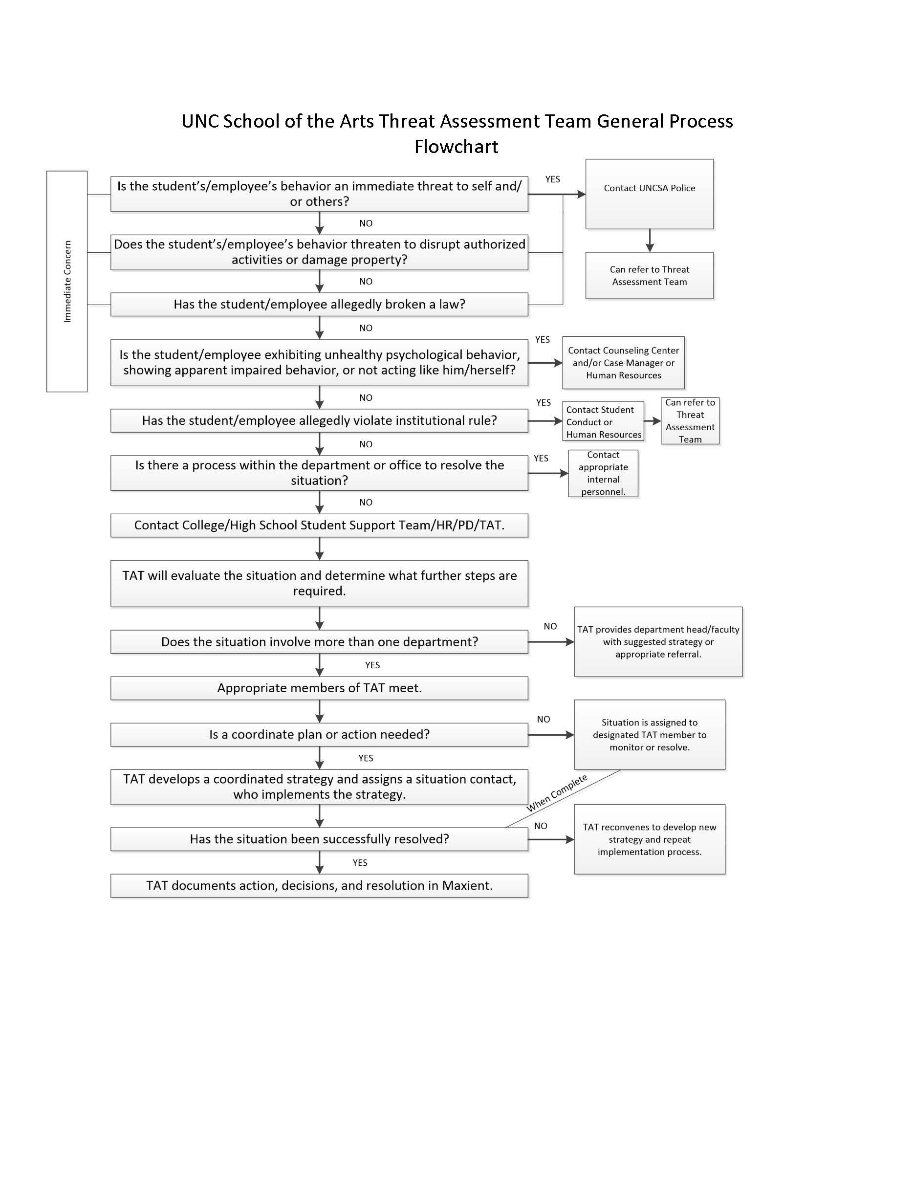
1. Imminent Threats. Anyone who has information to indicate that an imminent threat to a UNCSA student or employee may exist should contact UNCSA Police immediately. The police will respond appropriately to maintain a safe and secure campus based on the facts of the case presented. The Threat Assessment Team will be notified and called together as soon as possible, if needed.
2. Non-Imminent Threats. If a concern is deemed NOT IMMEDIATE, an individual shall report the threat to UNCSA Police, a threat assessment team member, the Student Affairs Case Manager, or the Department of Human Resources (if the threat involves an employee).
D. No person, who in good faith reports threatening or otherwise troubling behavior in accordance with this regulation, will be disciplined for making the report.
E. All students, employees, and visitors must obey all applicable Federal, State, and Local laws, including statutes concerning weapons on campus (N.C.G.S. § 14-269.2) and communicating threats (N.C.G.S. § 14-277.1).
F. UNCSA Police will promote violence prevention efforts and strictly enforce prohibitions against implicit or explicit threats, acts of violence, and possession of unauthorized weapons. Additionally, UNCSA Police will actively promote alternative methods for addressing disputes that arise between or among members of the UNCSA Community.
G. UNCSA will use a variety of methods to educate members of the University community in threat assessment and violence prevention. A non-exhaustive listing of these methods appears in this regulation’s procedures.
H. UNCSA will strive to identify and screen from consideration any potential students and employees that have a known background of making threats or engaging in violent acts.
I. UNCSA will provide resources as set forth in the attached procedures for students and employees experiencing conflicts, disputes, personal problems, stress, unusual behavior, and/or other factors that could negatively impact their mental and emotional state.
V. Revision History
A. February 17, 2011 – Adopted by Board of Trustees as part of UNCSA Policy Manual
B. October 13, 2023 - Revised to clarify definitions, roles, and support team titles.
UNIVERSITY OF NORTH CAROLINA SCHOOL OF THE ARTS
Threat Assessment Procedures
Procedure 704
I. Threat Assessment Team (TAT)
A. When a situation or individual becomes the focus of a threat assessment inquiry or investigation, the TAT will gather information, evaluate facts, and make a determination as to whether an individual or group poses a threat of violence.
B. The core members may include Chief of Police (Co-Chair), Vice Provost of Student Affairs (Co-Chair), Dean of Students, Case Manager, Director of Student Conduct & Community Standards, Office of Counseling Services, and Police Administration. If the individual posing the threat, or potential threat, is an employee, the Director of Human Resources may also participate on the team. Additionally, the Co-Chairs may request assistance and support from the Provost, General Counsel, Title IX Coordinator, Deans of Art Schools, Dean of High School Academics, Dean of Division of Liberal Arts, and other employees who may have knowledge or expertise which may be beneficial in a particular situation.
Core Team Members:
- Chief of Police (Co-Chair)
- Vice Provost of Student Affairs (Co-Chair)
- Deans of Students
- Case Manager
- Director of Student Conduct & Community Standards
- Office of Counseling Services
- Police Administration (Deputy Chief, Captain, Lieutenants, Emergency Management)
Threat Assessment Support Members:
- Provost
- General Counsel
- Title IX Coordinator
- Director of Human Resources
- Deans of Art Schools
- Dean of High School Academics
- Dean of Division of Liberal Arts
C. If time permits, a concern about a student may be pre-screened utilizing the screening worksheet prior to a meeting of the Threat Assessment Team by either the High School Support or the College Student Support Team (whichever is appropriate). If time permits, a concern involving a non-student may be pre-screened prior to going to the TAT by the Police and Public Safety Department and/or the Human Resources Department.
1. If the pre-screening process indicates that the threat assessment would be appropriate, the case will be referred to the TAT.
2. If the nature of the threat or situation is extreme and unfolding at a rapid rate, pre-screening is waived, and the possible threat is reviewed immediatly by the TAT. UNCSA Police will conduct any further investigation needed into the possible threat or act of violence. Information from the investigation will be shared with the TAT.
D. In a timely fashion, the TAT wil utilize the case worksheet and assess the risk level posed by the identified individual or situation, by analyzing all of the available information, conducting a threat assessment, and determining a threat/risk level.
Classifications. In making assessments, the TAT will strive to classify threats to the best of their ability based on the information available at that time. Classifications include:
1. Priority 1 (Extreme Risk) - Appears to pose a clear/immediate threat of violence, harm, or self-harm. Requires immediate containment, law enforcement notification, target protection, and management planning.
2. Priority 2 (High Risk) - Appears to pose a threat of violence, harm, or self-har but lacks immediacy or specific plan. Requires threat management planning.
3. Priority 3 (Moderate Risk) - Does not appear to pose a threat of violence, harm, or self-harm at the time of assessment, but exhibits behaviors or circumstances that are likely to be disruptive to the community. Requires active monitoring & referrals.
4. Priority 4 (Low Risk) - Does not appear to pose a threat of violence, harm, or self-harm at the time of assessment, nor causes significant disruption to the community. Requires passive monitoring and referrals as appropriate.
5. Priority 5 (No Identified Risk) - Does not appear to pose a threat of violence, harm, or self-harm at the time of assessment, nor causes signficant disruption to the community. Close case.
E. In circumstances where TAT’s analysis indicates that a student or employee needs help but poses no threat, TAT may refer the student to the Case Manager, High School Student Support Team, College Student Support Team, and/or employees to Human Resources staff for appropriate follow-up.
F. Based on this assessment, TAT will take or recommend appropriate action and/or consequences in the best interest of the safety, security, and effective operation of UNCSA.
G. The TAT ensures that specific intervention steps are initiated and completed within the needed time frame by the responsible UNCSA faculty/staff, Department and/or Division.
1. Threat management steps for students may include, but are not limited to, steps of the student conduct process; accepting student voluntary leave; mental health referral/counseling; mandated psychological assessment; or emergency suspension to remove the student from the campus immediately.
2. Threat management steps for employees may include, but are not limited to, mandatory fitness for duty examination; referral to employee assistance program; steps of the employee disciplinary process, up to and including discharge.
3. The UNCSA Police may use any lawful enforcement measures in connection with threats involving students, employees, and visitors or tresspassers. UNCSA will take steps to prevent or minimize threats or acts of violence by visitors to campus. UNCSA will employ a variety of measures to educate visitors and deal with any potential threat or act of violence from this "non-affiliated" population. Measures include, but are not limited to, interviews, trespass, arrest, and referral to services.
H. Student Assistance & Support will maintain student documentation and Human Resources will maintain employee documentation from the TAT.
I. The TAT will facilitate any available steps to mitigate the effects of threats and acts of violence on any victims. This will be done in conjunction with Student Affairs and the Department of Human Resources when it involves an employee.
II. Student Support Teams
A. High School Student Support Team. The team reviews the relevant information, talks with the student and the student’s family, and suggests an appropriate intervention to assist the student. The Case Manager is typically part of this process to help facilitate follow-up on any assistance plan. The team consists of: Case Manager, UNCSA Police, Office of Student Conduct, Office of Disability Resources, Office of Residence Life, Associate Dean of High School Academics, and Office of Counseling Services.
B. College Student Support Team. The committee reviews the relevant information, talks with the student, the student’s family (in some, but not all cases), and suggests an appropriate intervention to assist the student. The Case Manager is typically part of this process to help facilitate follow-up on any assistance plan. The team consists of: Case Manager, UNCSA Police, Office of Student Conduct, Office of Disability Resources, Office of Residence Life, and Office of Counseling Services.
III. Education
UNCSA will use a variety of methods to educate members of the University community in threat assessment and violence prevention.
IV. Resources
UNCSA will provide a variety of resources for students and employees experiencing conflicts, disputes, personal problems, stress, unusual behavior, and/or other factors that could negatively impact their mental and emotional state. Resources are provided throughout the entire process including, but not limited to, students and employees returning from mandatory break or back into the academic environment or workplace.
A. Available resources include, but are not limited to:
1. The Counseling Center provides certified counselors, and the Service’s website offers links to several topics. The Wellness Center provides a full spectrum of services, from crisis intervention, evaluation, and treatment or illness to therapies and education to help students group in their daily lives and learn to stay healthy.
2. The High School and College Student Support Teams use early intervention plans to assist students in situations that may cause them distress.
3. A full-time clinical case manager assists with student issues, serving as a point of contact for faculty and staff to express concerns about a student. The case manager also consults with families, faculty, administrators, and health service medical providers regarding student mental health issues and treatment options.
4. Residence Life staff observe students in their on-campus housing environment and identify any social or behavioral factors that may cause concern about the students' mental and emotional state. Staff will report such concerns to the appropriate resource for follow-up.
5. Human Resources will facilitate:
a. Development and revisions to related University policies
b. Management and supervisory awareness of signs that may indicate potential employee threats or acts of violence. (Police will also be available to present information on threat assessment and violence prevention to faculty and staff.)
c. Access to the University Ombuds or other personnel for employee-employer dispute resolution
d. Appropriate investigations and corrective actions for violations of related Policy and Work rules
e. The Employee Assistance Program
6. UNCSA Police will provide information and assistance to concerned students and employees as needed. If the threat to a student or employee is located off-campus, UNCSA Police will assist the individual employee in contacting the police agency having jurisdiction.
